100所名校学业水平测试,目前我们已经整理了100所名校学业水平测试的各科答案和试卷,更多100所最新高考模拟示范请关注本网站。

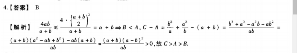
4.【答案】B【解析】4ab4·/a b2b a-02b-0b≤=a b→B 0,故C>A>B.
作者:网络 来源: 2021-01-16 16:48:57 阅读:次
100所名校学业水平测试,目前我们已经整理了100所名校学业水平测试的各科答案和试卷,更多100所最新高考模拟示范请关注本网站。 4.【答案】B【解析】4ab4·/a b2b a-02b-0b
100所名校学业水平测试,目前我们已经整理了100所名校学业水平测试的各科答案和试卷,更多100所最新高考模拟示范请关注本网站。

4.【答案】B【解析】4ab4·/a b2b a-02b-0b≤=a b→B 0,故C>A>B.
栏目最新
随机推荐