100所名校金典卷文综七,目前我们已经整理了100所名校金典卷文综七的各科答案和试卷,更多100所金典卷请关注本网站。




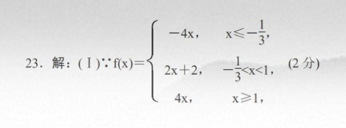
4x,x≤-323.解:(1):f(x)=12x 2,-
作者:网络 来源: 2021-01-10 00:04:52 阅读:次
100所名校金典卷文综七,目前我们已经整理了100所名校金典卷文综七的各科答案和试卷,更多100所金典卷请关注本网站。 4x,x≤-323.解:(1):f(x)=12x 2,-
100所名校金典卷文综七,目前我们已经整理了100所名校金典卷文综七的各科答案和试卷,更多100所金典卷请关注本网站。




4x,x≤-323.解:(1):f(x)=12x 2,-
栏目最新
随机推荐