皖智教育 安徽第一卷·2023年安徽中考信息交流试卷(二)2英语试题答案,目前答案易对网已经整理了皖智教育 安徽第一卷·2023年安徽中考信息交流试卷(二)2英语试题答案的各科答案和试卷,更多联考试卷请关注本网站。

6.ACD【解析】设椭圆的长半轴长为a,短半轴长为b,半焦距为c,由图象可得2ac0s45°=2√2,∴.a=2,又b=√2,c2=a2-,∴c=√2,.椭圆的长轴长为4,故A正确:椭圆的离心率为号,故B错误:椭圆的方程可以为亏 兰-1,故C正确:椭圆上的点到焦点的距离的最小值为2一√2,故D正确.故选ACD.


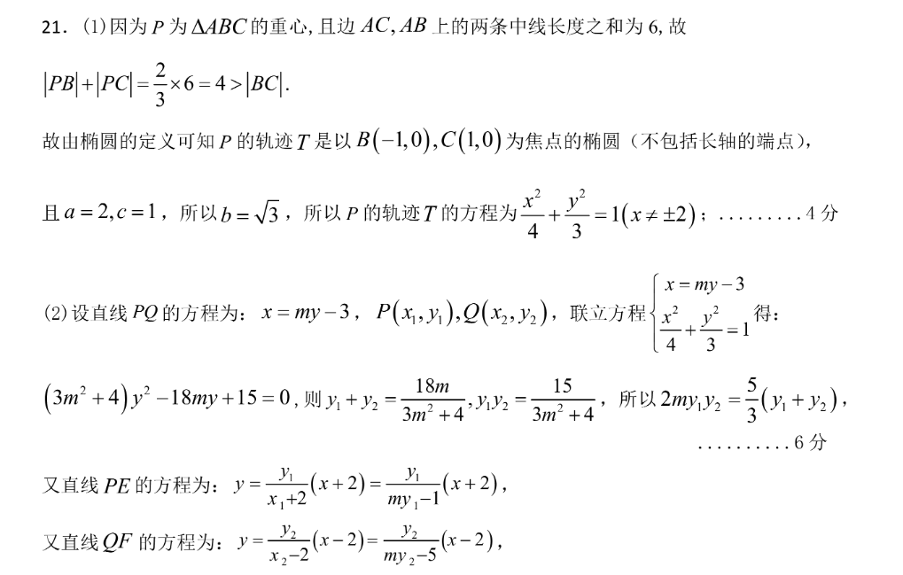
21.(1)因为P为△ABC的重心,且边AC,AB上的两条中线长度之和为6,故Pal PG-号x6=4>lBC故由椭圆的定义可知P的轨迹T是以B(一1,0),C(1,0)为焦点的椭圆(不包括长轴的端点),且0=2,c-1,所以6=万,所以P的载选T的方程为号 号-x学士2到:…4分x=my-3(2)设直线PQ的方程为:x=1y-3,P(x,乃),Q(2,2),联立方程2得:42(3m2 4)y2-18mw 15=0,则y 34454所以2m3 n)18m15..6分又直线PE的方程为:y红 2列-产红 2》,又直线5的方程为:y=2r-2)25r-2),y 2联立方程得x2(2myy2-y2-54)...10分yw-2刘-y2 5y网% 人上试:,2得号-)4-y2 5y-2 5y34所以当点P运动时,点M恒在定直线x=-。上3...12分

相关文章
栏目最新
随机推荐
热门标签