2023届全国新高考分科综合模拟测试卷 地理 新高考(三)3试题答案,目前我们已经整理了2023届全国新高考分科综合模拟测试卷 地理 新高考(三)3试题答案的各科答案和试卷,更多试卷答案请关注本答案网。


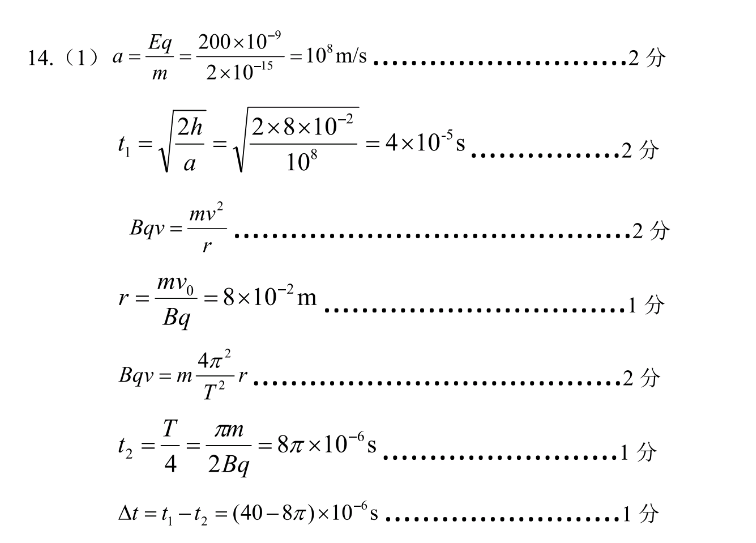
14.(1)a=Eg-200×10-92分m2×105=108ms..2h2×8×10-2a=v108=4×105s.2分mv2.2分”=mvo=8×10-2mBq1分4π2Bqv =m722分Ttm=8πx10-6s42Bq1分△t=1-t2=(40-8π)×10-6s…1分(2)x=yt=5×103×4×103=0.2m..2分d=x r=0.28m.1分

13.(1)2=V2gL=V2×0.4×5=2m/s..2分mv=mv m2v2................2分v=lm/S........1分t==1=2.5s3分g0.4(2)证=2m2-bm听 m)=x2x4-2x1 1x4到=3分21

相关文章
栏目最新
随机推荐
热门标签